
腎移植是終末期腎病患者的首選治療方法,但常常面臨來自受者免疫系統的排斥反應。隨著時間的推移,許多患者的長期存活率并不理想。雖然強效免疫抑制劑的使用提高了短期存活率,但這些藥物常常伴隨長期毒性,尤其是鈣調磷酸酶抑制劑,可能導致腎小管間質損傷。因此,科學家們不斷探索新的治療方法,旨在減少免疫抑制藥物的使用,同時確保移植的安全性。

間充質干細胞(MSC)的潛力
間充質干細胞(MSC)療法被認為是一種前景廣闊的選擇。研究表明,MSC具有抗炎、免疫調節和組織修復的特性,使其在實體器官移植中顯示出良好的臨床效果。然而,自體MSC的獲取通常需要時間,并且費用昂貴。因此,使用同種異體MSC成為新的研究方向,尤其是在急性治療中,這種方法具有標準化和即時可用的優點。然而,同種異體MSC也存在潛在風險,可能引發供體特異性免疫反應,從而影響腎移植效果。

干細胞療法:為腎移植患者帶來減少免疫抑制劑、降低排斥風險!
近期在荷蘭萊頓大學醫學中心(LUMC)進行的Neptune臨床試驗為這一領域帶來了新的突破。這項非隨機、前瞻性、單中心的Ib期研究探索了同種異體骨髓衍生的間充質干細胞對腎移植受者免疫系統的影響。
研究設計概述
Neptune臨床試驗共招募了10名活體腎移植接受者,患者在移植后第25和26周接受了MSC的輸注。所有參與者在這兩天接受了阿侖單抗的誘導治療,并按照由潑尼松、他克莫司(Advagraf)和依維莫司(Certican)組成的三聯療法進行維持治療。
研究經過倫理委員會批準,并獲得所有參與者的書面知情同意。MSCs的處理在LUMC的GMP(良好生產規范)設施中進行,目標劑量為每公斤體重1.5×10^6個細胞,注射過程通過外周靜脈進行,持續30分鐘。在研究期間,研究者為每位患者采集了9個血液樣本,以便評估細胞變化和免疫反應。

主要結果
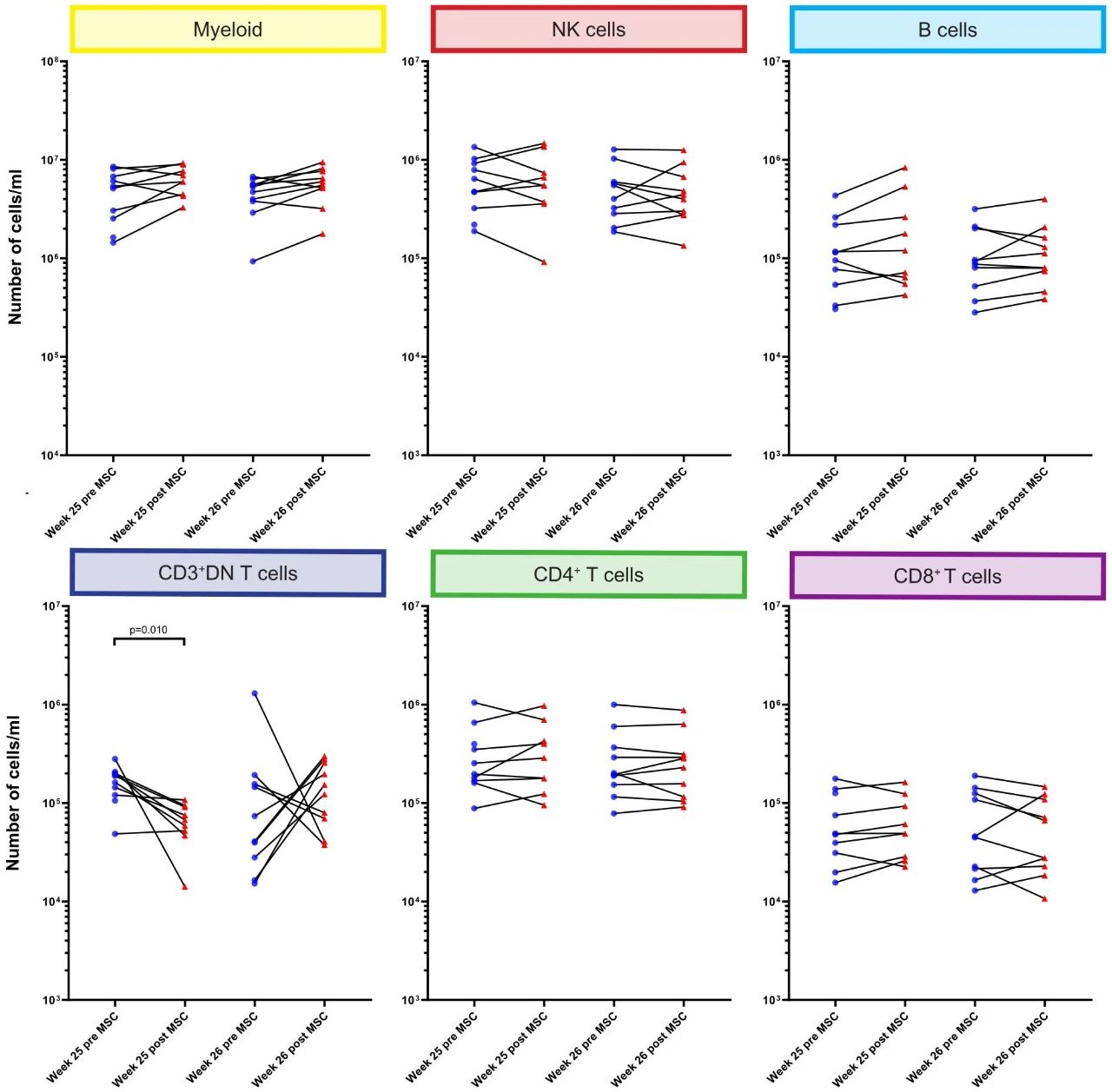
研究結果顯示,輸注MSC后第34周,B細胞和CD8+T細胞的數量顯著增加。這些患者在輸注后未觀察到直接歸因于MSC的不良反應,且所有患者的腎功能正常,沒有發生急性排斥反應(BPAR)。在不同時間點的細胞絕對數量分析中,第34周時B細胞和CD8+T細胞的數量較第25周明顯增加(均為p=0.027)。此外,研究還發現,首次輸注后4小時,CD3+DNT細胞數量顯著下降,但在第二次輸注后未出現類似情況(p=0.010),這表明MSC可能對早期免疫細胞反應產生短暫的抑制作用。

細胞表型的變化
研究者使用包含40個標記抗體的金屬偶聯質譜流式細胞術,對輸注前和輸注后4小時的細胞表型變化進行了詳細分析。結果顯示,75個細胞簇在輸注后4小時表現出顯著差異,多個B細胞和T細胞亞群的數量顯著增加。特別是,含有CD11b、CD11c、CD38、CD39和Ki67標記的亞群在輸注后均顯著增加。這些新生成的免疫細胞不僅具有特定的免疫功能,還能調節受者的免疫狀態,降低排斥反應的風險。這一發現為腎移植后患者的長期生存和健康提供了新的希望。


對未來的影響
這一研究成果不僅為腎移植領域帶來了革命性的變化,也為其他類型的器官移植和再生醫學研究提供了重要參考。值得一提的,在血液疾病的治療中,異體移植的干細胞或骨髓療法已在其他國家獲得批準并應用于臨床。
例如,日本的TEmcell是一種異體骨髓間充質干細胞注射液,定價為868,680日元(約合8,000美元)每袋,一個療程通常需要8袋,成年患者預計需2到3個療程,總費用約為10萬到15萬美元。美國的Prochymal同樣是一款異體骨髓間充質干細胞注射液,療程定價為20萬美元。

我國也一款——艾米邁托賽注射液(人臍帶間充質干細胞)已被納入優先審批品種名單。將用于治療激素治療失敗的急性移植物抗宿主病(aGVHD),有望將成為國內首個獲批的間充質干細胞藥物,這些成功的案例為我們的研究提供了有益的借鑒。

相信,隨著研究的不斷深入,我們有望看到更多關于干細胞在免疫調節中的應用,以及這一技術得到更廣泛的臨床實踐中,能夠造福更多患者,顯著改善他們的生活質量。
- 點擊了解更多腎病與干細胞治療腎病的相關知識
信息來源:干細胞與基因科學
Hendriks SH, Heidt S, Reinders MEJ, Koning F and van Kooten C (2024) Allogenic MSC infusion in kidney transplantation recipients promotes within 4 hours distinct B cell and T cell phenotypes. Front. Immunol. 15:1455300. doi: 10.3389/fimmu.2024.1455300
免責說明:本文僅用于傳播科普知識,分享行業觀點,不構成任何臨床診斷建議!杭吉干細胞所發布的信息不能替代醫生或藥劑師的專業建議。如有版權等疑問,請隨時聯系我。
掃碼添加官方微信