狼瘡性腎炎是系統性紅斑狼瘡(SLE)最嚴重的表現之一,可顯著增加發病率和死亡率。既往研究證實狼瘡性腎炎患者20年腎臟生存率僅為68%。雖然糖皮質激素、環磷酰胺和其他免疫抑制劑的引入大大提高了狼瘡性腎炎患者的生存率,但仍有35%的狼瘡性腎炎患者會出現至少一次復發,5%-20%的患者進展為終末期腎病。
基于臨床前模型數據,自體造血干細胞移植(簡稱自體干細胞移植)已用于多種嚴重自身免疫性疾病(包括SLE)的治療,但其在狼瘡性腎炎中的應用研究較為有限。由劉志紅院士帶領團隊開展了一項研究,就自體造血干細胞治療狼瘡性腎炎的有效性和安全性進行評估。該研究結果于5月7號發表于CJASN,為難治性狼瘡性腎炎患者提供了新型治療方案。

難治性狼瘡性腎炎的治療新選擇——自體造血干細胞移植
在本研究中,我們旨在評估自體干細胞移植治療難治性狼瘡腎炎患者的長期療效、緩解率、生存率和安全性。
背景和目標:我們的研究評估了自體造血干細胞移植治療難治性狼瘡腎炎患者的有效性和安全性。
方法及目標:2011年7月至2015年1月,共納入22例難治性狼瘡性腎炎患者。外周血干細胞用環磷酰胺和粒細胞集落刺激因子動員,并在用環磷酰胺和抗胸腺細胞球蛋白處理后回輸。主要結果是緩解率,次要終點包括生存率和復發率、蛋白尿變化、腎功能和血清學免疫學檢測。記錄所有并發癥以進行安全性評估。
主要結果
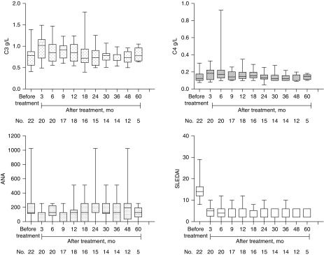
自體干細胞移植后疾病活動和腎臟結果
所有患者均成功移植,粒細胞和血小板移植中位時間分別為8(7-9)和9(6-10)天。
自體干細胞移植后C3顯著增加(P<0.05),移植后3個月中位C3水平從0.55(0.44-0.70)增至0.98(0.84-1.12)g/L(圖1)。C4亦顯著增加,但無統計學意義。移植后ANA降低,SLE疾病活動度指數評分于移植后1個月即顯著降低,并維持在低水平(P<0.05)。

隨訪期間平均蛋白尿為<0.5g/24h,平均血清白蛋白>4.5g/dl(圖2)。

隨訪結束,共18例(82%)患者獲得完全緩解,完全緩解中位時間為3個月(圖3A)。1例(5%)患者獲得部分緩解,1例患者無應答并在移植后12個月行腹膜透析。5年腎臟總生存率為86%(圖3B)。6例患者出現復發,復發率為27%,中位復發時間為31(13.5-55)個月,5年無復發生存率為53%(圖3C)。

(A) 完全緩解概率的Kaplan-Meier 曲線。18 名患者達到完全緩解,完成緩解的中位時間為 3 個月。
(B) 腎臟存活的Kaplan-Meier曲線。總體 5 年腎臟存活率為 86%。
(C) 復發概率的Kaplan-Meier曲線。5年無復發生存率為53%。
(D) 所有患者的總生存期。5年總生存率為91%。
隨訪期間共2名患者死亡,1例患者在移植后1個月死亡嚴重感染,1例患者在移植后5個月死于肺部感染。移植相關相關死亡率為5%(1例)。總生存率為91%(圖3D)。
干細胞移植的主要并發癥是高熱和胃腸道癥狀(表1)。

隨訪期間最常見的并發癥為感染,主要發生于移植后6個月內(表2)。其他并發癥包括純紅細胞再生障礙性貧血、白細胞減少癥和血小板減少癥。

討論:自體干細胞移植已被提議作為一種治療狼瘡性腎炎的方式,可以阻止自身免疫性疾病過程并導致持續緩解。
在我們的研究中,大多數患者(82%)實現了完全緩解,腎臟反應的中位時間僅為3個月。中位隨訪72個月后,5 年總生存率和無病生存率分別為91%和53%。我們的研究結果與其他研究的結果相似。考慮到所有患者都患有難治性狼瘡性腎炎,這一結果令人鼓舞。
參考資料:Huang X, Chen W, Ren G, Zhao L, Guo J, Gong D, Zeng C, Hu W, Liu Z. Autologous Hematopoietic Stem Cell Transplantation for Refractory Lupus Nephritis. Clin J Am Soc Nephrol. 2019 May 7;14(5):719-727. doi: 10.2215/CJN.10570918. Epub 2019 Apr 12. PMID: 30979713; PMCID: PMC6500938.
提示:本文內容來自網絡用戶投稿,僅供參考,不做為診斷依據,任何關于疾病的建議都不能替代執業醫師的面對面診斷。最終以醫生診斷為準,不代表本站同意其說法,請謹慎參閱,本站不承擔由此引起的任何法律責任。
掃碼添加官方微信