我國存在大量失代償性肝硬化患者,主要由乙型肝炎病毒(HBV)感染引起。這些患者經歷了不可逆轉的肝硬化過程。臍帶間充質干細胞(UC-MSCs)具有自我更新和多向分化的潛力,這使得治療失代償性肝硬化成為可能。
干細胞治療能否改善乙型肝炎肝硬化患者的癥狀?24例患者長期隨訪告訴你答案
近日,我國研究人員利用人臍帶間充質干細胞進行了一項治療乙型肝炎病毒失代償性肝硬化的臨床研究,臨床結果表明輸注后,肝功能在短時間內得到改善。ALB在第57天和第85天增加,但在第169天下降到基線水平。從第29天到第157天,PTTA顯著改善。IL-8在整個訪視期間下降。由此可知hUC-MSCs在治療HBV相關失代償性肝硬化患者方面具有巨大潛力,且安全性滿意。該綜述發表在國際期刊雜志“Stem Cell Research&Therapy”上。

試驗注冊:該試驗已在ClinicalTrials.gov上注冊,注冊 ID 為 NCT05442437。注冊名稱為“hUC-MSCs治療HBV失代償性肝硬化的臨床研究”。該注冊表于2022年7月1日發布。
肝臟是人體最重要、最復雜的器官之一。藥物、酒精、病毒等因素都可能損害肝臟,導致肝炎、脂肪肝、肝硬化等肝病,是我國最常見的肝病。大多數失代償性乙型肝炎肝硬化患者對常規治療不滿意。隨著病情的發展,患者可能會出現肝性腦病、食管靜脈曲張出血、肝功能衰竭、肝腎綜合征等危及生命的嚴重疾病。
間充質干細胞(MSCs)由于具有多向分化潛能和良好的增殖能力,能夠產生多種細胞因子和生長因子,還具有造血、免疫調節和抗炎功能,已被動物實驗和臨床證實。研究表明,我們認為間充質干細胞對于治療乙型肝炎病毒性肝炎肝硬化失代償具有很大的潛力,并且很適合細胞移植。

因此,我們設計本臨床試驗旨在探索乙型肝炎相關失代償性肝硬化的新治療方法。該臨床試驗的主要目的是調查輸注臍帶間充質干細胞移植治療乙型肝炎病毒失代償性肝硬化患者的存活率、肝功能的促進、健康的改善以及患者的安全性和耐受性。我們期待這項試驗能為失代償性肝硬化患者帶來新的希望。
干細胞治療能否改善乙型肝炎肝硬化患者的癥狀?24例患者長期隨訪告訴你答案
方法:招募24名參與者并分為3組。hUC-MSCs將通過外周靜脈輸注3次。進行24周的隨訪,包括檢測肝功能、凝血功能、一般狀況、免疫系統等,并記錄不良事件。隨后將進行1.5年的生存隨訪。
結果
注冊和生存
在我們的研究中,我們招募了全部39名患者,其中15名不適合我們的標準。所有24名登記參與者均接受了3次hUC-MSC輸注。但低劑量組1例、中劑量組2例尚未完成隨訪。
對于低劑量組,6個月生存率為75%(八個人中有六個)。一名參與者因在第7次就診(第85天)時新診斷出肝癌而退出隨訪。另一位參與者在第七次訪問后錯過了隨訪,至今無法聯系。2年生存率為50%(8個人中有4人)。除上述撤回一名和退學一名外,還有兩名參與者死亡。一名因特拉馬引起腦出血死亡(首次輸注后23個月),另一名因肝性腦病死亡(首次輸注后11個月)。我們的結論是,這2例死亡與hUC-MSC制備無關。
中劑量組的6個月生存率為75%(8個人中有6個)。一名參與者錯過了所有后續訪問,我們無法聯系到他/她。還有另一位參與者由于COVID-19的流行(導致他/她的城市長期實行宵禁)而無法到達醫院探望,但我們能夠聯系到他/她并確認他/她還活著。但此案仍被定義為退學。2年生存率也是75%(8個人中有6個)
高劑量組的6個月存活率為100%(8人中有8人)。2年隨訪尚未結束,而最后一名患者于2021年12月接受了首次輸液,將于2023年12月結束生存隨訪。然而,根據我們的調查,目前的存活率為87.5%(8 人中有7人)。一名參與者在首次輸注后近7個月因肝功能衰竭和肝性腦病死亡。整個研究流程如圖1所示。

應用Kaplan-Meier生存分析來研究三組的生存情況。如圖2所示,低、中、高劑量組的存活率沒有顯著差異(logrank=0.1741,P=0.9166),推斷輸注較高濃度的hUC-MSCs可能不會增加生命風險。

肝功能
對于失代償性肝硬化患者來說,大多數人無法維持與健康人一樣良好的肝功能。因此,肝功能的評估是最重要的檢查之一。
- 在我們的試驗中,我們測試血清白蛋白、丙氨酸轉氨酶、天冬氨酸轉氨酶、膽堿酯酶、總膽紅素、直接膽紅素和血清總膽固醇來描述肝功能。我們發現,在第169天,所有這些指標與基線水平沒有顯著差異。但在后續的走訪過程中,一些指標發生了明顯的變化,下面將對此進行介紹。這3組之間的變異沒有統計學差異。這可能表明劑量對肝功能影響不大。
低劑量組和高劑量組的血清白蛋白水平在第29天和第57天顯著升高,并且在第85天所有3組均升高(圖3A)。然而,在第169天,三組的Alb水平均下降,并且沒有表現出統計學顯著性。此外,在整個訪視期間,這三組之間的Alb(與基線水平相比)變化沒有統計學差異。這些可能表明輸注不同劑量的hUC-MSC不會影響血清白蛋白水平。

高劑量組僅在第85天ALT水平升高(P=0.0469),且未超過ULN(45U/L)。3組間差異無顯著統計學意義。每次訪視時ALT水平的變化未表現出顯著差異(圖3B )。組間AST的變化也沒有顯示出統計學顯著性(圖3C)。第29天,高劑量組CHE水平顯著升高,第85天低劑量組升高,但兩者最高水平仍低于ULN(12500U/L) (S-表1)。隨著時間的推移,CHE水平恢復為與基線相比沒有差異。同樣,各組之間CHE的變化也沒有統計學意義。這些指標表明hUC-MSCs可能不會損傷肝細胞。
總膽紅素發現,在第29天,中劑量組T-Bil顯著增加(P=0.0156),但從第57天開始恢復到正常水平(圖3D) 。第29天各組間T-Bil變化有統計學差異(P=0.0108),但hUC-MSCs劑量與T-Bil之間不存在量效關系。如圖3E所示,直接膽紅素的變化在每次訪視中與基線相比均沒有表現出顯著差異,在這3組之間也沒有表現出顯著差異。
圖3F顯示了總膽固醇水平的變化。我們發現,第29天,低劑量組TC水平升高(P=0.0391),并從第57天開始恢復,無差異。此外,高劑量組在第57天表現出顯著增強(P=0.0078)。所有3組的TC變化均無顯著差異。
凝血功能
大多數失代償性肝硬化患者沒有正常的凝血功能,可能會導致上消化道出血,這是非常危險的。因此,我們測試凝血酶原活性和抗凝血酶III水平來判斷參與者的凝血功能。
- 表2顯示末次訪視時高劑量組的PTTA較基線顯著升高(P=0.00156),同時這種變化與低、中劑量組的變化沒有明顯差異。很明顯,高劑量組從第29天開始增強PTTA并持續到最終訪視(圖4A)。而3組間比較無統計學意義。

圖4B說明了所有訪問中AT-III的變化。第29天可以看出,低劑量組和高劑量組AT-III水平顯著升高,并且高劑量組AT-III水平在第57天仍然保持較高水平。
臨床特征
失代償性肝硬化患者可能表現出不同的臨床特征。為了估計全身狀況,創建了許多方法。
- 在本次試驗中,我們應用了最常用的方法:Child-Pugh評分、MELD評分和SF-36量表。根據記錄,在最后一次訪問中,參與者的體重沒有顯著變化,并且Child-Pugh和MELD評分與基線相比保持相似。
我們可以看出,參與者的體重保持在穩定的水平,并且3個不同的組顯示出類似的變化(圖5A)。低劑量組在第57天表現出顯著較低的Child-Pugh評分(P=0.0313) (圖5B)。組間變異無統計學差異。另外可以發現每次訪視MELD評分均無明顯變化,3組MELD均無明顯變化(圖5C)。

我們還記錄了所有參與者在基線和所有隨訪中的癥狀。這些癥狀包括腹水、腿部浮腫、吐血、黃疸和食欲不振。
從這些記錄中,我們發現在低劑量組中,大多數參與者在基線時有腹水。hUC-MSC治療后,8名參與者中有5名 (62.5%) 在第29天不再出現腹水。隨著時間的推移,人數逐漸減少,最終只有四名參與者中的一名(25%)腹水得到改善。中劑量組中,5人中有3人(60%)腹水消失情況較好。至于高劑量組,8名參與者中有2名(25%)不再出現腹水,而8名參與者中有2名(25%)出現腹水,他們在開始時腹水呈陰性。
大多數低劑量組參與者在基線時出現腿部水腫。在第57天和第85天,7名參與者中的5名(71.4%)改善了水腫癥狀,但最終只有3名參與者中的1名(33.3%)維持了這種改善。中劑量組5名參與者中有1名(20%)腿部水腫得到治愈。高劑量組的8名參與者中,有1名(12.5%)的水腫情況有所好轉,同時8名參與者中的1名(12.5%)水腫情況惡化。
第29天低劑量組僅有1名受試者出現吐血。第一天沒有人出現吐血。我們還發現低劑量組中7人中有1人(14.3%)在第29天出現黃疸,但此后有所好轉。高劑量組中8人中有1人(12.5%)改善了黃疸。據報道,低劑量組7人中只有1人(14.3%)在第29天出現食欲不佳,但復診后有所改善。在基線訪視中沒有人食欲不佳。
免疫功能
失代償性肝硬化患者由于脾功能亢進和門靜脈之間側支循環的建立而容易受到感染。因此這些患者很容易出現支氣管炎、肺炎、腹膜炎或膽道感染。
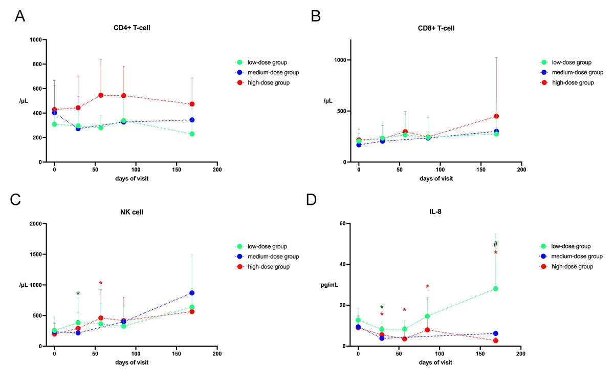
如圖6所示,與上次訪視的基線相比,只有IL-8顯著下降(P=0.0156),此外3組中IL-8的變化具有統計學意義(P=0.0491)。

我們對免疫功能進行了詳細的測試。我們對所有參與者的10多項指標進行了檢測。輸注hUC-MCSs后,CD4+T細胞和CD8+T細胞在隨訪中沒有出現明顯下降(圖 6A、圖6B)。
同樣,Th1細胞和Th2細胞在4次隨訪中都沒有明顯下降。自然殺傷細胞在低劑量組第29天明顯升高(P=0.0469),在高劑量組第57天也有所升高,但這些變化在三組間無統計學意義(圖6C)。自然殺傷T細胞在整個隨訪期間沒有明顯變化。隨訪期間共檢測了7種白細胞介素,不難發現,低劑量組和高劑量組的IL-8在第29天均明顯下降,高劑量組的下降持續到第169天(第57天和第169天的P=0.0156)(圖6D)。
此外,在第169天,三組之間的差異顯著,而高劑量組IL-8的下降更為明顯。第57天,低劑量組的IL-17α比高劑量組明顯升高,而高劑量組的IL-17α在第57天保持為 0(表9)。
不良事件
據記錄,低劑量組、中劑量組和高劑量組分別發生63次、34次和54次AE(表1)。這些不良事件大多屬于1級或2級,低、中、高劑量組所占比例分別為90%、82%和74%。1類和2類AE比例較高,意味著AE影響較輕。4級AE在三組中僅發生0、1和1次。方差分析顯示三組之間差異不顯著(P=0.2101)。推斷該劑量不會增加AE的危險性。

討論
我們試驗中的不良事件大部分屬于1級或2級(總比例超過70%),這表明hUC-MSCs的毒性和其他副作用較弱。間充質干細胞治療膝骨關節炎的I/II期臨床試驗表明,試驗期間未記錄SAE、永久性殘疾、腫瘤或化膿性關節炎。另一項hUC-MSCs用于治療復發緩解型多發性硬化癥 (RRMS) 的試驗聲稱,盡管檢測到部分脫髓鞘病變,但在10年隨訪期間未觀察到腫瘤和器官疾病的發展。
綜上所述,間充質干細胞的安全性可靠,為臨床應用提供了必要的理論依據。
臍帶間充質干細胞的安全性和有效性對于治療患者至關重要。在試驗開始之前,我們查閱了大量的相關文獻,找到了臍帶間充質干細胞治療失代償性肝硬化的理論依據。
- 總結了間充質干細胞治療肝硬化的幾種可能機制,例如直接分化為肝細胞,與肝細胞融合修復,旁分泌大量細胞因子和生長因子促進肝細胞再生,調節免疫系統(CD4+T細胞、CD8+T細胞、NK細胞等)治療肝臟免疫損傷, MSC條件培養基抑制肝細胞凋亡。此外,Chen還發現間充質干細胞不僅能抑制肝星狀細胞的活化,還能通過分泌單核細胞趨化蛋白-1、白細胞介素-6、肝細胞生長因子等減少膠原沉積,從而抑制肝纖維化。
基于這些大量的理論,我們認為臍帶間充質干細胞極有可能改善失代償期肝硬化患者的肝功能。從收集到的數據中,我們得出結論:自輸注干細胞以來,也許在2-3個月內,干細胞能改善肝功能,但隨著時間的推移,療效逐漸減弱。因此,我們發現只有PTTA得到了改善,IL-8在最后一次就診(第169天)時顯著下降。
- 作者建議,通過肝動脈或門靜脈輸注間充質干細胞可能比通過外周靜脈輸注更能治療肝硬化患者。一項薈萃分析顯示,動脈內注射比外周靜脈注射更有效,能改善MELD評分以及ALB和T-BiL水平。有報道稱,通過動脈輸注可使間充質干細胞更精確地定位在損傷組織中。此外,經外周靜脈輸注時,間充質干細胞最先到達肺部,其次到達肝臟。因此,我們有了一個新的想法,即通過肝動脈或門靜脈輸注hUC-間充質干細胞,以使盡可能多的細胞作用于肝損傷組織。然而,新的輸注途徑難度大、消耗高、風險高,仍是亟待解決的重要問題。
結論
人臍帶間充質干細胞在治療與乙型肝炎病毒(HBV)相關的失代償性肝硬化患者方面具有巨大潛力,但需要更大的樣本量,需要通過RCT試驗來確定。在我們的試驗中,我們證明人臍帶間充質干細胞可以在短時間內改善肝功能,特別是對凝血功能的影響。它對于臨床應用來說也足夠安全,嚴重不良事件和腫瘤發展的風險較低。人臍帶間充質干細胞對免疫系統幾乎沒有影響。它在某些方面改善了患者的全身狀況。
參考資料:Xian Qin, Jing Chen, Li Du et al. The research of human umbilical cord mesenchymal stem cells therapy in decompensated liver cirrhosis associated with hepatitis virus B: a long-term follow up analysis of a single-center, on-limits and stepped research., 24 January 2024, PREPRINT (Version 1) available at Research Square
[https://doi.org/10.21203/rs.3.rs-3736389/v1]
免責說明:本文僅用于傳播科普知識,分享行業觀點,不構成任何臨床診斷建議!杭吉干細胞所發布的信息不能替代醫生或藥劑師的專業建議。如有版權等疑問,請及時跟本公眾號聯系,我們將在第一時間處理。
掃碼添加官方微信