導讀:近年來干細胞治療在肝硬化領域展現出巨大潛力,通過其獨特的再生能力,可靶向肝臟損傷區域,促進肝細胞再生及肝功能恢復。臨床研究證實,干細胞能顯著改善肝纖維化指標,提升患者生活質量。干細胞治療已成為肝硬化創新療法的研究熱點,未來有望開辟肝病治療新紀元。
什么是肝硬化
肝硬化(Liver Cirrhosis)是一種慢性肝臟疾病,其特征是肝臟結構的長期損傷和纖維化,導致肝臟組織逐漸被纖維組織所替代,形成硬化的結節。這種結構的改變嚴重影響了肝臟的正常功能,包括代謝、解毒、分泌膽汁和合成蛋白質等。
肝硬化可能由多種因素引起,包括長期酗酒、病毒性肝炎、自身免疫性肝病、遺傳性疾病等。患者可能會出現腹水、黃疸、肝性腦病、門脈高壓等癥狀,嚴重時可導致肝功能衰竭和死亡。
- 相關閱讀請瀏覽(肝硬化的體征和癥狀是什么?及其治療方法)

肝硬化治療方法
肝硬化是中國面臨的重要公共衛生問題,具有較高的發病率和死亡率。中國是全球肝硬化發病率和死亡率最高的國家之一,給患者及其家庭以及社會醫療系統帶來了沉重的負擔。
除肝移植外,目前仍缺乏有效的終末期肝硬化治療方法,因此在肝硬化早期階段進行有效抗纖維化治療顯得尤為重要。
5項研究388例患者證實:干細胞治療肝硬化安全有效,能夠顯著改善肝功能和生存率!
近年來,隨著再生醫學的發展,干細胞治療肝硬化作為一種新興的治療方法,利用干細胞的自我更新和分化潛能,為脊肝硬化患者提供新的修復策略。
本文通過分析總結5項干細胞治療肝硬化的臨床試驗結果,從而評估干細胞移植作為肝硬化患者的潛在治療方法的安全性和有效性。
①臨床試驗一:干細胞改善失代償性肝硬化患者的肝功能和腹水
2012年2月9日,北京302醫院轉化肝病研究所生物治療研究中心在期刊雜志《Journal of Gastroenterology and Hepatology》上發表了一篇關于《人臍帶間充質干細胞改善失代償性肝硬化患者的肝功能和腹水》的研究成果。【1】

共招募了45名患有失代償性肝硬化的慢性乙型肝炎患者,其中30名接受人臍帶間充質干細胞輸注的患者和15名接受生理鹽水作為對照的患者。
有效性
- 與對照組相比,接受UC-MSC輸注治療的患者的腹水量顯著減少(P<0.05)。
- UC-MSC治療還顯著改善了肝功能,表現為血清白蛋白水平升高、總血清膽紅素水平降低以及終末期肝病鈉模型評分降低。
安全性:在1年的隨訪期內檢測臨床參數。兩組均未觀察到顯著的副作用和并發癥。
研究表明,臍帶間充質干細胞輸血在臨床上是安全的,可以改善肝功能并減少失代償性肝癌患者的腹水。因此,臍帶間充質干細胞輸血可能為失代償性肝癌患者提供一種新的治療方法。
②臨床試驗二:干細胞可改善失代償性肝硬化乙肝患者的肝功能
2018年,南京軍區上海市肝病研究中心在《中國組織工程研究雜志》上發表了一篇關于《輸注人臍帶間充質干細胞可改善失代償性肝硬化乙肝患者的肝功能》的研究成果。【2】

人臍帶間充質干細胞(hUC-MSC)治療組招募了17名乙肝患者,對照組包含17名臨床匹配的個體。
有效性評估
1.肝功能測試
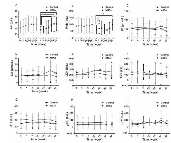
- 間充質干細胞移植患者肝功能有所改善,白蛋白、膽紅素、乳酸脫氫酶及堿性磷酸酶水平有所恢復。
- 治療后48周,MSC治療組的Alb水平從(28.9±2.8)g/L升高至(33.9±5.7)g/L,顯著高于基線值(P<0.05;圖A)。
- MSC治療患者的PAB從(62.1±32.7)g/L升高至(98.7±41.6)g/L,也顯著高于基線值(P<0.05;圖B)。
- 治療后48周,MSC治療組的LDH和AKP水平明顯低于對照組(P<0.05;圖E、F)。治療后48周,LDH值為:MSC治療組為(191.4±63.7)U/L;對照組為(272.2±105.3)U/L。治療后48周,AKP值為:MSC治療組為(87.2±33.7)U/L;對照組為(133.8±58.3)U/L。

2.凝血測試
- 治療后各個時間點,MSC治療組和對照組患者的PT無明顯差異(圖A)。
- 在治療4周后觀察到MSC治療組的APTT更快,并且MSC治療患者的APTT持續下降直至治療后48周(圖 B)。治療后48周的APPT值為:MSC治療組,39.9秒(減少7.5秒);對照組,43.1秒(增加7.5秒)。
- MSC治療患者血液中的Cr水平與對照組患者相比有所下降(圖C),這表明腎功能有所改善。
- MSC治療組的Child-Pugh評分從基線時的9.4分顯著下降至治療48周后的7.5分(P<0.05;圖D),表明預后較好。
- MSC治療患者的MELD評分也從15.8分下降至13.3分,而對照組的MELD評分從基線時的15.1分略有上升至治療48周后的15.5分(圖E)。
這表明與僅接受常規治療的患者相比,接受hUC-MSC治療的患者預后較好。

安全性評估:輸注hUC-MSC后,患者的生命體征、心電圖結果和腎功能未發現異常變化。
綜上所述,間充質干細胞移植治療乙型肝炎失代償肝硬化患者肝功能有所改善,白蛋白、膽紅素、乳酸脫氫酶及堿性磷酸酶水平有所恢復,且患者Child-Pugh及MELD評分明顯恢復。表明人臍帶間充質干細胞靜脈注射入乙肝肝硬化失代償患者體內可改善肝功能。
③臨床試驗三:間充質干細胞治療失代償性肝硬化臨床試驗分析
2021年11月29日,解放軍總醫院第五醫學中心感染病醫科王福生院士團隊在國際期刊《Hepatology International》上發表了一篇關于《間充質干細胞治療失代償性肝硬化:隨機對照臨床試驗的長期隨訪分析》的研究成果。【3】

本項前瞻性、開放性、隨機對照研究納入了219名HBV相關失代償性肝硬化(DLC)患者,分為對照組 (n= 111) 和臍帶間充質干細胞 (UC-MSC) 治療組 (n=108),所有患者均在2010年10月至2017年10月期間接受了隨訪檢查。
有效性評估
1.臍帶間充質干細胞對長期生存的影響
- 在75個月的隨訪中,UC-MSC治療組與對照組之間的總生存率無顯著差異。(圖a)
- 而使用Landmark分析,在13至75個月的隨訪中,UC-MSC治療組的總生存率顯著高于對照組。(圖b)
- 結果表明,盡管UC-MSC治療可以顯著提高失代償性肝硬化患者的生存率,但UC-MSC治療相對于傳統醫學治療的優越性可能在UC-MSC輸注后約13個月才會顯現出來。

2.臍帶間充質干細胞輸注對肝功能的影響
- 48周的隨訪中,兩組的ALB水平均較基線水平升高,但UC-MSC治療組的ALB水平在24和48周的時間點明顯高于基線水平(圖a)。
- 在48周的隨訪中,UC-MSC治療組的PTA水平與基線水平和對照組相比明顯升高(圖b)。
- UC-MSC輸注后,隨訪48周,CHE水平較基線水平明顯升高,TBIL水平較基線水平明顯降低,但與對照組相比無明顯差異。(圖c、d)
- 提示UC-MSC治療可減輕肝臟炎癥,明顯改善肝功能。

安全性評估
- UC-MSC組所有患者均能良好耐受UC-MSC治療。7名患者在UC-MSC輸注后2-6小時內出現自限性發熱(體溫37-38°C),但在12小時內恢復,無需任何額外治療。未發現其他短期臨床不良反應,包括過敏、皮疹或感染。Kaplan–Meier 分析顯示,UC-MSC 治療組與對照組的無肝癌生存率無顯著差異(圖a)
- 隨訪的前8個月內,對照組的無肝癌生存率似乎高于UC-MSC治療組,但在8至75個月之間,UC-MSC組的無肝癌生存率更高。(圖b)
- 結果顯示,對于失代償性肝硬化患者,UC-MSC治療在長期安全性方面和常規治療相比并不會帶來更高的風險。

綜上所述,隨訪13至75個月,治療組總生存率明顯高于對照組。UC-MSC治療明顯改善肝功能,隨訪48周,血清白蛋白、凝血酶原活動度、膽堿酯酶、總膽紅素水平明顯改善。UC-MSC組未見明顯副作用或治療相關并發癥。
結論:UC-MSC療法不僅耐受性良好,還能顯著提高HBV相關DLC患者的長期生存率和肝功能。因此,UC-MSC藥物治療可能為該疾病提供一種新的治療方法。
④臨床試驗四:干細胞回輸對失代償期肝硬化患者遠期療效的影響研究
2022年,空軍軍醫大學西京消化病醫院在期刊《中華肝病雜志》上發表了一篇關于《自體外周血干細胞回輸對失代償期肝硬化患者遠期療效的影響研究》的研究成果。【4】

納入2005年8月至2012年2月空軍軍醫大學第一附屬醫院消化內科完成PBSC治療的失代償期肝硬化患者資料。共287例失代償期肝硬化患者完成骨髓來源的自體外周血干細胞(PBSC)治療,90例患者在術后10年內失訪。10年后再次失訪患者2例。以患者死亡或肝移植作為隨訪終點,共有123例到達終點,其中肝移植患者8例,72例已隨訪10年以上尚未到達隨訪終點。

有效性評估
1.生存率評估
- 在到達隨訪終點或雖未到達隨訪終點但至少隨訪10年以上的197例患者中,有74例的骨髓來源的自體外周血干細胞術后生存期超過10年,肝硬化失代償期患者PBSC術后10年的生存率為37.56%。
- 對照組共納入了151例,未達到隨訪終點患者38例,死亡118例,其中隨訪10年后死亡患者2例,對照組的10年生存率為26.49%,兩組間差異有統計學意義。兩組的生存曲線見圖2。

2.肝功能測試評估
- 選取可以反映患者肝臟合成儲備功能及可以預測患者預后的膽堿酯酶、白蛋白、國際標準化比值、CTP評分以及MELD評分等,對生存期>10年PBSC組患者的生物化學指標進行分析。
- 所有患者表現出基本相同的趨勢,即PBSC治療后的3個月 ~ 1年內以上指標逐漸恢復,并在后續長達10年的隨訪中長期穩定在較理想的水平(圖3)。

安全性評估
- PBSC組29例的中位肝癌發生年齡為60歲(39歲~68歲),平均肝癌發生年齡為(56.66±7.21)歲。
- 對照組的中位肝癌發生年齡為51.5歲(36歲~68歲),平均肝癌發生年齡為(52.69±8.42)歲。
- PBSC組的肝癌發生年齡晚于對照組。

綜上所述,PBSC組的10年生存率高于對照組。膽堿酯酶、白蛋白、國際標準化比值、肝功能評分以及終末期肝病模型評分等多項指標在PBSC治療后的3個月~1年內逐漸恢復,并在后續長達10年的隨訪中長期穩定在較理想的水平。
結論:通過10年以上的長期隨訪觀察研究,進一步明確了PBSC治療能使失代償期肝硬化患者長期獲益,并且遠期安全性良好,為干細胞在臨床應用的安全性和有效性提供更多的數據支撐。
⑤臨床試驗五:人臍帶血間充質干細胞移植治療失代償性肝硬化患者
2023年5月,柳州市中醫院和廣州中醫藥大學第二附屬醫院聯合在期刊《Journal of Gastrointestinal Surgery》上發表了一篇關于《人臍帶血間充質干細胞移植治療失代償性肝硬化患者》的研究成果。【5】

納入2010年11月至2013年2月柳州市中醫院失代償期肝硬化住院患者,共入組201例患者,其中接受人臍帶血間充質干細胞移植(HUCB-MSCT)治療(SCT組)36例,未接受HUCB-MSCT治療(非SCT組)165例。
有效性評估
主要結果是總生存率。次要結果是3年和5年生存率以及發病率(HCC)發生率。總生存率定義為從研究開始到病例死亡的時間。
1.生存率評估
- PSM前研究對象總死亡率為80.1%,其中SCT組死亡率為61.1%,非SCT組死亡率為84.2%(139/165)。
- PSM后研究對象總死亡率為74.1%,其中SCT組死亡率為61.1%,非SCT組死亡率為80.6%。
- PSM前后SCT組Kaplan-Meier生存曲線均高于非SCT組(均P<0.05)。多元回歸分析發現,HUCB-MSCT治療是患者OS的獨立有益因素。

2.發病率評估
- 全部隊列中,發病率(HCC)總發生率為33.3%,其中SCT組發生率為41.7%,非SCT組發生率為31.5%(52/165)。
- 匹配隊列中,HCC總發生率為32.4%(35/108),其中SCT組發生率為41.7%,非SCT組發生率為27.8%。PSM前后兩組間HCC累積風險函數差異均無統計學意義。

安全性評估:研究結果還發現,HUCB-MSCT不會增加這些患者罹患HCC的風險。因此,得出結論,HUCB-MSCT是一種安全有效的肝硬化治療方法,無論是長期還是短期。
綜上所述,兩組的3年和5年生存率分別為83.3%vs61.8%和63.9%vs. 43.6%,中位OS??時間分別為92.50和50.80個月。HUCB-MSCT治療是患者OS的獨立有益因素。HUCB-MSCT會改善DLC患者的長期OS,而不會增加HCC的發生率。
干細胞治療肝硬化的臨床研究進展
截止2024年8月27日,在美國國立衛生研究院的最大臨床試驗注冊庫clinicaltrials.gov網站上注冊的有關干細胞治療肝硬化臨床研究項目有75項,已完成的有20項。

國內注冊項目包括:
| 研究標題 | NCT 編號 | 地位 | 狀況 | 干預措施 | 贊助 | 學習類型 | |
|---|---|---|---|---|---|---|---|
| 1 | 人臍帶間充質干細胞治療肝硬化 | NCT02652351 | 未知狀態 | 肝硬化 | 生物:人臍帶間充質干細胞 | 深圳市黃蜂玉米生物技術有限公司 | 介入 |
| 2 | 通過肝動脈為肝硬化患者輸注臍帶間充質干細胞 | NCT01224327 | 未知狀態 | 肝硬化 放射科 間充質干細胞 更多 1 | 生物:臍帶間充質干細胞 藥品:保守治療 | 青島大學 | 介入 |
| 3 | 間充質干細胞治療肝硬化 | NCT01233102 | 暫停 | 肝硬化 | 藥品:保守治療程序:肝動脈灌注或靜脈灌注 | 石毓芳 | 介入 |
| 4 | 人脂肪干細胞治療肝硬化的臨床試驗研究 | NCT02297867 | 完全的 | 肝硬化 | 藥品:脂肪干細胞 | 國熙干細胞應用技術股份有限公司 | 介入 |
| 5 | 評估ADSCs對肝硬化患者療效和安全性的開放標簽單臂 II 期研究 | NCT04088058 | 招聘 | 肝硬化 | 藥品: GXHPC1 | 國熙干細胞應用技術股份有限公司 | 介入 |
| 6 | 間充質干細胞治療失代償性肝硬化 | NCT03945487 | 未知狀態 | 失代償性肝硬化 | 生物:臍帶間充質干細胞 其他:綜合治療 | 北京302醫院 | 介入 |
| 7 | 間充質干細胞移植治療失代償性肝硬化試驗 | NCT03209986 | 未知狀態 | 肝硬化 | 程序:經外周靜脈移植間充質干細胞 其他:間充質干細胞 | 西京消化病醫院 | 介入 |
| 8 | 肝硬化患者的異基因骨髓干細胞移植手術 | NCT01223664 | 未知狀態 | 肝硬化 | 程序:同種異體骨髓干細胞移植 藥品:保守治療 | 中山大學 | 介入 |
| 9 | 干細胞治療失代償期酒精性肝硬化的研究 | NCT05155657 | 招聘 | 酒精肝硬化 | 生物:常規療法加低劑量UCMSCs治療 生物:常規療法加中劑量UCMSCs治療 生物:常規療法加高劑量UCMSCs治療 | 煙臺毓璜頂醫院 | 介入 |
| 10 | 臍帶間充質干細胞治療肝硬化患者 | NCT01220492 | 完全的 | 肝硬化 | 藥品:傳統治療加MSC治療 藥品:常規加安慰劑治療 | 北京302醫院 | 介入 |
| 11 | 骨間充質干細胞(BMSC)經門靜脈移植治療肝硬化 | NCT00993941 | 未知狀態 | 肝硬化 | 程序:自體骨髓間充質干細胞移植 藥品:保守治療 | 中山大學 | 介入 |
| 12 | 肝硬化患者的自體骨髓間充質干細胞肝動脈移植術 | NCT00976287 | 未知狀態 | 肝硬化 | 程序:肝動脈灌注 程序:保守治療 | 中山大學 | 介入 |
| 13 | SHED治療失代償期肝硬化的安全性和有效性 | NCT03957655 | 未知狀態 | 肝硬化 | 生物: SHED組 | 長海醫院 | 介入 |
| 14 | 人臍帶間充質干細胞移植治療失代償期肝硬化患者 | NCT01342250 | 完全的 | 肝硬化 | 生物:常規療法加低劑量hUC-MSCs治療 生物:常規療法加中劑量hUC-MSCs治療 生物:常規療法加高劑量hUC-MSCs治療 | 深圳市貝克生物科技有限公司 | 介入 |
| 15 | 用于治療失代償性肝硬化的人臍帶間充質干細胞(MSC-DLC-1b) | NCT05984303 | 尚未招募 | 失代償性肝硬化 | 生物:人臍帶間充質干細胞 | 北京302醫院 | 介入 |
| 16 | 用于治療失代償性肝硬化的人臍帶間充質干細胞(MSC-DLC-1) | NCT05227846 | 招聘 | 失代償性肝硬化 | 生物:人臍帶間充質干細胞 | 北京302醫院 | 介入 |
| 17 | 用于治療失代償性肝硬化的人臍帶間充質干細胞(MSC-DLC-2) | NCT05224960 | 尚未招募 | 失代償性肝硬化 | 生物:臍帶間充質干細胞 生物:安慰劑(不含 UC-MSCs 的解決方案) | 北京302醫院 | 介入 |
| 18 | 肝硬化患者干細胞移植與傳統療法的療效差異 | NCT01718587 | 未知狀態 | 肝硬化 | 程序:通過介入手術進行干細胞移植 藥品:抗病毒治療(拉米夫定,其他抗病毒藥物) | 中國武警總醫院 | 介入 |
| 19 | 用人臍帶間充質干細胞治療失代償性肝硬化 | NCT05121870 | 未知狀態 | 失代償性肝硬化 | 生物:臍帶間充質干細胞 生物:含1%人血清白蛋白的鹽水(不含UC-MSCs的溶液) | 北京302醫院 | 介入 |
| 20 | 間充質干細胞移植治療難治性原發性膽汁性膽管炎 | NCT03668145 | 未知狀態 | 原發性膽道肝硬化 | 程序:間充質干細胞移植或通過外周靜脈輸注安慰劑 | 西京消化病醫院 | 介入 |
| 21 | 臍帶間充質干細胞輸注治療失代償期肝硬化的臨床試驗 | NCT03529136 | 未知狀態 | 失代償性肝硬化 | 生物:UC-MSC | 山東齊魯干細胞工程有限公司 | 介入 |
| 22 | 臍帶間充質干細胞治療原發性膽汁性肝硬化患者 | NCT01662973 | 未知狀態 | 原發性膽道肝硬化 | 其他:常規加UC-MSC治療 其他:常規加安慰劑治療 | 北京302醫院 | 介入 |
| 23 | 間充質干細胞治療腎臟纖維化的安全性和有效性研究 | NCT03460223 | 未知狀態 | 腎臟肝硬化 | 生物:地中海航運 | 南京醫科大學 | 介入 |
| 24 | 間充質干細胞和調節性 T 細胞聯合移植治療終末期肝病的安全性和有效性研究 | NCT03460795 | 尚未招募 | 肝硬化 | 生物: MSC 和 Tregs | 南京醫科大學 | 介入 |
| 25 | 異基因間充質干細胞治療難治性原發性膽汁性肝硬化患者的療效和安全性研究 | NCT01440309 | 未知狀態 | 原發性膽道肝硬化 | 生物:生物:間充質干細胞藥品:熊去氧膽酸 | 趙春華醫學博士 | 介入 |
| 26 | 注射膠原支架?聯合 HUC-MSCs 移植治療失代償期肝硬化患者 | NCT02786017 | 未知狀態 | 失代償性肝硬化 | 生物:常規治療 生物:可注射膠原蛋白支架 +HUC-MSCs | 中國科學院 | 介入 |
| 27 | 人骨髓干細胞治療HBV相關性肝硬化的安全性和有效性 | NCT01724697 | 未知狀態 | 肝硬化 終末期肝病 | 其他:骨髓間充質干細胞移植其他:常規治療 & 抗病毒治療 | 中國空軍軍醫大學 | 介入 |
| 28 | 人自體外周血干細胞治療 HBV 相關性肝硬化的安全性和有效性 | NCT01728688 | 未知狀態 | 肝硬化 終末期肝病 | 其他: PBSC移植 其他:常規治療 | 中國空軍軍醫大學 | 介入 |
| 29 | 人臍帶間充質干細胞治療HBV相關性肝硬化的安全性和有效性 | NCT01728727 | 未知狀態 | 肝硬化 終末期肝病 | 其他: UC-MSC 移植 其他:常規治療 | 中國空軍軍醫大學 | 介入 |
| 30 | 人臍帶間充質干細胞在乙型肝炎肝硬化(補償期)患者中的應用研究 | NCT05507762 | 未知狀態 | 乙型肝炎導致的肝硬化 | 生物:臍帶間充質干細胞 生物:鹽溶液 | 武漢大學人民醫院 | 介入 |
| 31 | 門靜脈高壓手術中通過肝動脈灌注 ABMSC以治療肝硬化 | NCT01560845 | 未知狀態 | 肝硬化 門脈高壓癥 肝功能衰竭 更多 | 程序:自體骨髓干細胞輸注(ABMSCi)加腹部門脈高壓癥手術 程序:開放式腹部門脈高壓癥手術 | 溫州醫科大學 | 介入 |
| 32 | 自體骨髓單核細胞在肝硬化中的應用 | NCT05442437 | 完全的 | 乙型肝炎 | 生物:人類臍帶間充質干細胞 | 中南醫院 | 介入 |
| 33 | 干細胞移植治療肝硬化的安全性和有效性 | NCT01491165 | 未知狀態 | 其他外科手術 | 程序:通過介入手術進行干細胞移植 | 中國武警總醫院 | 介入 |
| 34 | 自體間充質干細胞移植治療難治性腹水肝硬化患者 | NCT01854125 | 未知狀態 | 血液中的免疫功能血液中的肝功能腹水變異另外2個 | 生物:自體骨髓間充質干細胞移植 生物:自體骨髓間充質干細胞移植 | 南京解放軍總醫院 | 介入 |
| 35 | hUC 間充質干細胞(19#iSCLife?-LC)治療失代償期乙型肝炎肝硬化乙型肝炎肝硬化 | NCT03826433 | 招聘 | 乙型肝炎 | 生物:外圍設備 iv | 深圳市世科生物技術有限公司 | 介入 |
| 36 | 通過外周靜脈輸入臍帶間充質干細胞的不同頻率對ESLD患者的影響 | NCT06242405 | 尚未招募 | 終末期肝病 | 生物:臍帶間充質干細胞 | 沈陽軍區總醫院 | 介入 |
| 37 | 不同劑量通過外周靜脈輸入臍帶間充質干細胞對ESLD患者的影響 | NCT06167473 | 招聘 | 終末期肝病 | 生物:臍帶間充質干細胞 | 沈陽軍區總醫院 | 介入 |
結論
臨床研究結果顯示干細胞治療肝硬化是具有臨床價值的,可以讓患者肝功能有所改善,白蛋白、膽紅素、乳酸脫氫酶及堿性磷酸酶水平有所恢復并且可以提高肝硬化患者的生存率。
盡管干細胞治療總體上安全,仍存在一些潛在風險,例如,低熱和頭暈和輕微不適反應。因此,患者在接受干細胞治療前需要進行詳細的檢查和評估,并在專業醫生的指導下進行治療。
隨著研究的深入和技術的成熟,我們期待干細胞治療能夠在肝硬化治療中發揮更大的作用。
相關閱讀:了解更多關于干細胞治療肝硬化的新聞資訊!
【1】Zhang, Z., Lin, H., Shi, M., Xu, R., Fu, J., Lv, J., Chen, L., Lv, S., Li, Y., Yu, S., Geng, H., Jin, L., Lau, G.K.K. and Wang, F.-S. (2012), Human umbilical cord mesenchymal stem cells improve liver function and ascites in decompensated liver cirrhosis patients. Journal of Gastroenterology and Hepatology, 27: 112-120. https://doi.org/10.1111/j.1440-1746.2011.07024.x
【2】付慶春、金銀鵬、王小金、李莉、王曦、李洪超、王兆京、周峰、臧祖勝、史立勤、李振宇、陳成偉.輸注人臍帶間充質干細胞改善乙型肝炎失代償期肝硬化患者的肝功能[J].中國組織工程研究, 2018, 22(25): 3993-4000.
【3】Shi, M., Li, YY., Xu, RN. et al. Mesenchymal stem cell therapy in decompensated liver cirrhosis: a long-term follow-up analysis of the randomized controlled clinical trial. Hepatol Int 15, 1431–1441 (2021). https://doi.org/10.1007/s12072-021-10199-2
【4】崔玲娜, 王曉鋒, 孫瑞琪, 等. 自體外周血干細胞回輸對失代償期肝硬化患者遠期療效影響的研究. 中華肝臟病雜志. 2022年3月;30(3):279-284. DOI: 10.3760/cma.j.cn501113-20220228-00091. PMID: 35462483.
【5】Zepeng Li, Xiaoling Zhou, Lu Han, Meijie Shi, Huanming Xiao, Ming Lin, Xiaoling Chi,Human Umbilical Cord Blood-Derived Mesenchymal Stem Cell Transplantation for Patients with Decompensated LiverCirrhosis,Journal of Gastrointestinal Surgery,Volume 27, Issue 5,2023,Pages 926-931,ISSN 1091-255X,https://doi.org/10.1007/s11605-022-05528-1.(https://www.sciencedirect.com/science/article/pii/S1091255X23000136)
免責說明:本文僅用于傳播科普知識,分享行業觀點,不構成任何臨床診斷建議!杭吉干細胞所發布的信息不能替代醫生或藥劑師的專業建議。
版權說明:本文來自杭吉干細胞科技內容團隊,歡迎個人轉發至朋友圈,謝絕媒體或機構未經授權以任何形式轉載至其他平臺,轉載授權請在網站后臺下方留言獲取。
掃碼添加官方微信