干細胞療法作為2型糖尿病的新興治療方向,全球多項臨床試驗正在積極推進中。據統計,中國約有1.4億成人患有2型糖尿病,傳統治療手段雖能控制血糖,卻難以逆轉疾病進程,患者終身面臨服藥和并發癥風險。
相比媒體報道”干細胞治愈糖尿病”的突破時,真實患者的親身經歷和感受更能反映這些創新療法的實際效果和影響。
本文將帶您走進參與干細胞治療的4位2型糖尿病患者的故事:從多年依賴胰島素的“老糖友”逐步停藥,到長期血糖失控患者重獲穩定,他們的親身經歷或許能讓我們更直觀地看到,干細胞療法正悄然開啟新的可能。

4位患者親述:參與2型糖尿病干細胞臨床試驗的完整經歷與效果!
案例故事:4位患者的臨床試驗之旅
案例1:央視報道,兩位干細胞治療糖尿病的成功案例
2009年11月25日,央視CCTV10曾播出一期節目《再見,糖尿病》,講述了兩例干細胞治療糖尿病的成功案例。[1]
患者1:9年糖尿病,用了干細胞,告別胰島素
不幸遭遇車禍的李先生被救護車送入北京航天醫院進行救治。有著九年糖尿病病史的李先生已經出現視網膜病變等癥狀,而車禍給本來就不堪一擊的他雪上加霜。車禍后,如果高血糖不能馬上降下來,則糖尿病引發的酸中毒可能會直接危及他的生命。
此時,高血糖會對心臟、大腦、腎臟等重要器官造成不可逆轉的損害,醫生迅速給李先生進行胰島素注射,暫時將他的血糖降低成之前的一半,但李先生的血液還是像高濃度的糖水,情況仍然十分危險。
一次偶然的機會,李先生得知,利用干細胞移植技術可以治療糖尿病,他抱著試一試的想法找到了醫生,在身體外傷恢復之后,醫生為李先生進行了干細胞的采集。完成細胞制備后,為他進行了干細胞的移植,術后不到一個月,李先生就完全停止了胰島素的注入。
如今,李先生已能像健康人一樣正常飲食、生活,他直言“感覺重新活過來”。

患者2:8年糖尿病,移植干細胞,再不用吃藥
李女士原本是一名書畫愛好者,但在患糖尿病的8年里,她的視力、心臟以及手腳都受到了不同程度并發癥的影響,常年吃藥治療,她的胃、肝也受到了傷害。
住院期間,李女士在醫生的介紹下了解到了干細胞移植治療手術,經過醫生對干細胞技術的講解,最終李女士決定接受干細胞移植。
干細胞移植手術后四個月,李女士已經完全停藥,再也不用吃藥控制血糖了,想吃什么就吃什么,跟正常人一樣,她也重新拾起了自己的書畫創作,生活品質有了明顯的改善。

案例2:成功治愈59歲25年2型糖尿病,已33個月無需胰島素,血糖恢復正常!
2024年4月30日,上海長征醫院的殷浩教授及其團隊在《Cell Discovery》雜志上公布的一項令人振奮的研究。這也是全球首次報道干細胞技術成功“治愈”晚期2型糖尿病的事例研究。[2]

患者情況:59歲男性,已有25年2型糖尿病病史,病情進展至終末期糖尿病腎病,并在2017年接受了腎移植。自2019年底起,血糖控制再次嚴重失衡,不僅威脅到移植腎的存活,還讓患者常常擔心因低血糖而出現意外。
2021年7月19日,由于對低血糖的擔憂以及考慮血糖控制不佳對供體腎臟長期生存的不利影響,該患者在上海長征醫院接受了自體再生胰島移植治療。
研究結果發現,干細胞術后第11周患者即開始完全脫離外源胰島素,其口服降糖藥(拜糖平、二甲雙胍)術后逐步減量,并在第48周和56周實現徹底撤藥。
空腹及餐后C肽等關鍵指標較術前顯著提高,證實胰島功能得到有效恢復;腎臟功能等隨訪指標均處于正常范圍,也提示該療法可避免糖尿病并發癥的進展。
目前,該患者表示:”已持續33個月完全停用胰島素,血糖穩定,胰島功能顯著恢復。”這一突破標志著2型糖尿病治療從“控制癥狀”邁向“根源治愈”的新時代。

案例3:臍帶間充質干細胞治療,60歲患者的血糖重生之路
2025年7月25日,安徽醫科大學第五臨床醫學院在《罕少疾病雜志》上發表了一篇題為《人臍帶充質干細胞治療2型糖尿病的一例報告并文獻復習》的研究報告,給廣大糖尿病患者帶了康復的新希望。[3]

該研究選取的是1名確診為2型糖尿病60歲男性患者,因20年前口干、多飲、多尿,血糖升高,診斷為2型糖尿病,有高血壓病史。6年前因血糖控制不佳,調整治療方案為門冬胰島素30注射液18U 三餐前、甘精胰島素注射液8U 睡前、曲格列汀100mg 每日1次+飲食運動治療,血糖控制差,HbA1C:8.5%,空腹c肽:807pmol/L。
最終確診為:2型糖尿病合并糖尿病視網膜病變、高血壓和脂肪肝。在常規治療收效甚微后,醫療團隊制定了周密的干細胞治療方案。
2022年6月19號于北京大學深圳醫院內分泌科接受三次臍帶間充質干細胞(hUC-MSCs)靜脈注射。研究結果發現:
1.血糖明顯改善:在隨訪過程中,患者第4、12周糖化血紅 蛋 白 均 控 制 達 標 , 其 中 在 第 1 2 周 , 糖 化 血 紅 蛋 白 降至最低,為5.3%;在隨訪過程中,患者空腹血糖(Fastingblood glucose,FBG)持續下降。餐后2小時血糖(2-hour postprandial blood glucose,PBG)均低于基線水平。(圖1)

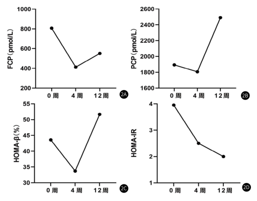
2.胰島功能逐步改善:靜脈輸注臍帶間充質干細胞后,患者FCP在第4周下降至最低,隨后上升;而PCP在輸注臍帶間充質干細胞后,在4周后開始上升至12周;就HOMA-β而言,在4周后開始上升,于12周到達高值;而HOMA-IR,在輸注hUC-MSCs后持續下降至12周,胰島功能恢復與胰島素抵抗減輕均于12周到達最佳效果。

3.逐漸減少降糖藥:患者在前三次輸注臍帶間充質干細胞后逐漸實現降糖藥物減量,到第4周實現了減停口服降糖藥物,到4周胰島素用量較基線胰島素用量下降大于50%。(見表1)

4.安全性:整體來看,治療安全性良好。余心電圖、胸片、感覺閾值未見明顯異常,未見肺部、肝膽脾胰等臟器出現新發結節/腫瘤等情況,隨訪過程中未出現感染、嚴重低血糖及急性心腦血管等事件。
患者感受:”雖然不能說‘治愈’,但生活質量明顯提高了。最開心的是減少了胰島素用量,低血糖事件大大減少,手腳麻木感也減輕了。”
醫生與專家點評
盡管上述案例展現了干細胞治療的潛力,但干細胞治療仍處于臨床研究階段,并非成熟的常規治療手段。雖然有一些積極的臨床數據,但必須清醒認識到:
并非100%治愈:目前的研究更多是實現“功能性治愈”或“病情緩解”,即在減少或停用外源性胰島素的情況下仍能良好控制血糖,而非根除疾病。
療效存在個體差異:治療效果受糖尿病類型、病程長短、胰島功能殘留情況以及是否存在并發癥等多種因素影響。
無論是否接受干細胞治療,生活方式干預都是糖尿病管理的基石。案例中效果較好的患者,都嚴格遵循了飲食控制和規律運動。
總結
干細胞療法正在為2型糖尿病帶來新的希望,但它仍處于臨床探索階段,并非適用于所有患者。真實的案例讓我們看到了一些令人鼓舞的改善,也提醒我們要理性看待,科學驗證還需要時間和更多數據。對患者而言,規范的生活方式管理仍然是治療的根基,而干細胞或許將在未來成為重要的補充甚至突破口。
參考資料:
[1]https://tv.cctv.com/2009/11/25/VIDE1355512552044761.shtml
[2]Wu, J., Li, T., Guo, M. et al. Treating a type 2 diabetic patient with impaired pancreatic islet function by personalized endoderm stem cell-derived islet tissue. Cell Discov 10, 45 (2024). https://doi.org/10.1038/s41421-024-00662-3
[3]黃才浩,張帆.人臍帶充質干細胞治療2型糖尿病的一例報告并文獻復習[J].罕少疾病雜志,2025,32(07):3-6.
免責說明:本文僅用于傳播科普知識,分享行業觀點,不構成任何臨床診斷建議!杭吉干細胞所發布的信息不能替代醫生或藥劑師的專業建議。如有版權等疑問,請隨時聯系我。
掃碼添加官方微信