嵌合抗原受體T細胞 (CAR-T細胞) 可在大量復發/難治性淋巴瘤患者中誘導長期緩解。然而,人們對CAR-T細胞治療后患者的生活知之甚少。
近日,法國雷恩大學醫院血液科在醫學期刊雜志《HemaSphere》刊發了一篇《CAR-T細胞療法后的緩解:淋巴瘤患者能否恢復正常生活?》期刊綜述。
CAR-T細胞治療后:淋巴瘤患者能否恢復正常生活?來看研究結果

該綜述前瞻性地評估了緩解期淋巴瘤患者、白細胞分離術前、CAR-T細胞輸注前以及之后3、6和12個月的多維恢復情況。多項臨床研究結果表明在CAR-T細胞治療12個月后,22名可評估患者中有81.8%對日常生活感到滿意。近一半患者的身體活動、職業、性和整體幸福感已恢復到診斷前的水平。我們發現CAR-T細胞療法后患者的HRQoL有所改善,包括焦慮、抑郁、性滿足感和總體幸福感。
簡介
嵌合抗原受體T細胞(CAR-T細胞)療法徹底改變了對復發和難治性(R/R)淋巴瘤(如大B細胞淋巴瘤(LBCL)、套細胞淋巴瘤(MCL)和濾泡淋巴瘤(FL))的治療。CAR-T細胞療法誘導的長期緩解提出了一個問題,即患者在接受這種治療后是否有可能恢復 “正常生活”。

在CAR-T細胞療法的臨床試驗中,健康相關生活質量 (HRQoL) 通常作為次要終點進行評估。在JULIET研究中,在接受至少兩線全身療法后接受tisagenlecleucel (tisa-cel) 治療的LBCL患者在HRQoL的大多數方面均表現出臨床上顯著的改善。在TRANSCEND試驗中,lisocabtagene maraleucel (liso-cel) 輸注改善了R/R LBCL患者的整體HRQoL,并且與基線相比的變化在第二個月具有臨床意義。
但是,參加臨床試驗的患者可能不能代表在現實世界中接受治療的患者。只有兩項現實世界研究評估了CAR-T細胞輸注后數月的整體HRQoL。他們報告HRQoL在前2周內最初下降,隨后在3個月內恢復到基線。然而,第一項研究發現隨著時間的推移并沒有臨床上顯著的改善。第二項研究顯示3個月和6個月時病情有所改善,但研究對象為無反應者,他們并不代表緩解期患者。兩項研究均涉及患有多發性骨髓瘤和急性白血病的異質性患者群體。最后,他們為期6個月的有限隨訪無法估計恢復日常生活的情況。
在這里,我們對現實世界中接受CAR-T細胞治療的淋巴瘤患者進行了一項前瞻性研究,以評估CAR-T細胞治療后第一年緩解患者的多維恢復情況(身體、心理、社會和職業)。

方法
研究設計和數據收集:CARAMA是一項雙中心前瞻性研究,在法國雷恩大學醫院和圖盧茲大學醫院進行。符合條件的患者必須年滿18周歲,能夠提供知情同意書,并患有符合CAR-T細胞療法治療條件的淋巴瘤。患者在接受白細胞清除術前即被納入治療。過渡性化療由主治醫生決定。
疾病特征由電子病歷收集,社會和人口統計學數據由患者自行報告。所有可分析的患者都被要求填寫每份問卷,問卷由血液科的專職護士負責收集。在白細胞清除術前、CAR-T細胞輸注前以及之后的3個月、6個月和12個月收集臨床數據和自填問卷。患者隨訪至第12個月研究結束或疾病進展/復發或死亡。
長期隨訪數據是通過電話采訪獲得的,這些患者在12個月后仍處于緩解狀態,并且仍在接受研究人員的監測,直到24個月。這些結構化訪談涵蓋了職業活動、社交生活、身體活動、性生活和總體幸福感。
評估方法:采用經過驗證的工具來測量淋巴瘤相關和整體健康相關生活質量(HRQoL;癌癥治療功能評估-淋巴瘤[FACT-Lym]和EQ-5D-5L)、認知癥狀(FACT-認知)、疲勞(FACIT-疲勞分量表)、心理狀態(醫院焦慮和抑郁量表、創傷后核對表量表)以及性能力(人際關系和性能力量表)。
結果
基線時患者樣本特征:從2020年3月到2022年8月,共有59名患者被納入研究。CAR-T細胞輸注后的中位隨訪時間為11個月。問卷完成情況詳情見圖1。

對患者進行隨訪,直至死亡、疾病進展或研究結束。如果至少可以計算出一個分數,則認為問卷已完成。ED-5Q-DL,5級EuroQol 5 維 5 級;EPCL,創傷后應激檢查表;FACIT-F,慢性病治療功能評估-疲勞分量表 (FACIT-F) 問卷;FACT-Cog,癌癥治療功能評估-認知;FACT-Lym,癌癥治療功能評估-淋巴瘤;HADS,醫院焦慮和抑郁量表;PRO,患者報告結果;RSS,關系和性量表問卷。
研究期間,19名患者(32.2%)病情進展,4名患者(6.8%)死亡。研究結束時,2名(3.4%)和11名(18.4%)患者的最終隨訪日期分別為3個月和6個月,剩下23名患者(39%)在第12個月可評估。
患者特征:中位年齡為63歲(范圍:19–78歲)。其中男性28人(47.5%),女性31人(52.5%)。大多數患者之前接受過兩種治療(N=39,66%)。主要診斷為LBCL(N=44,73.6%)、FL(N=8,13.6%)和MCL(N?=5,8.5%)。
生活質量
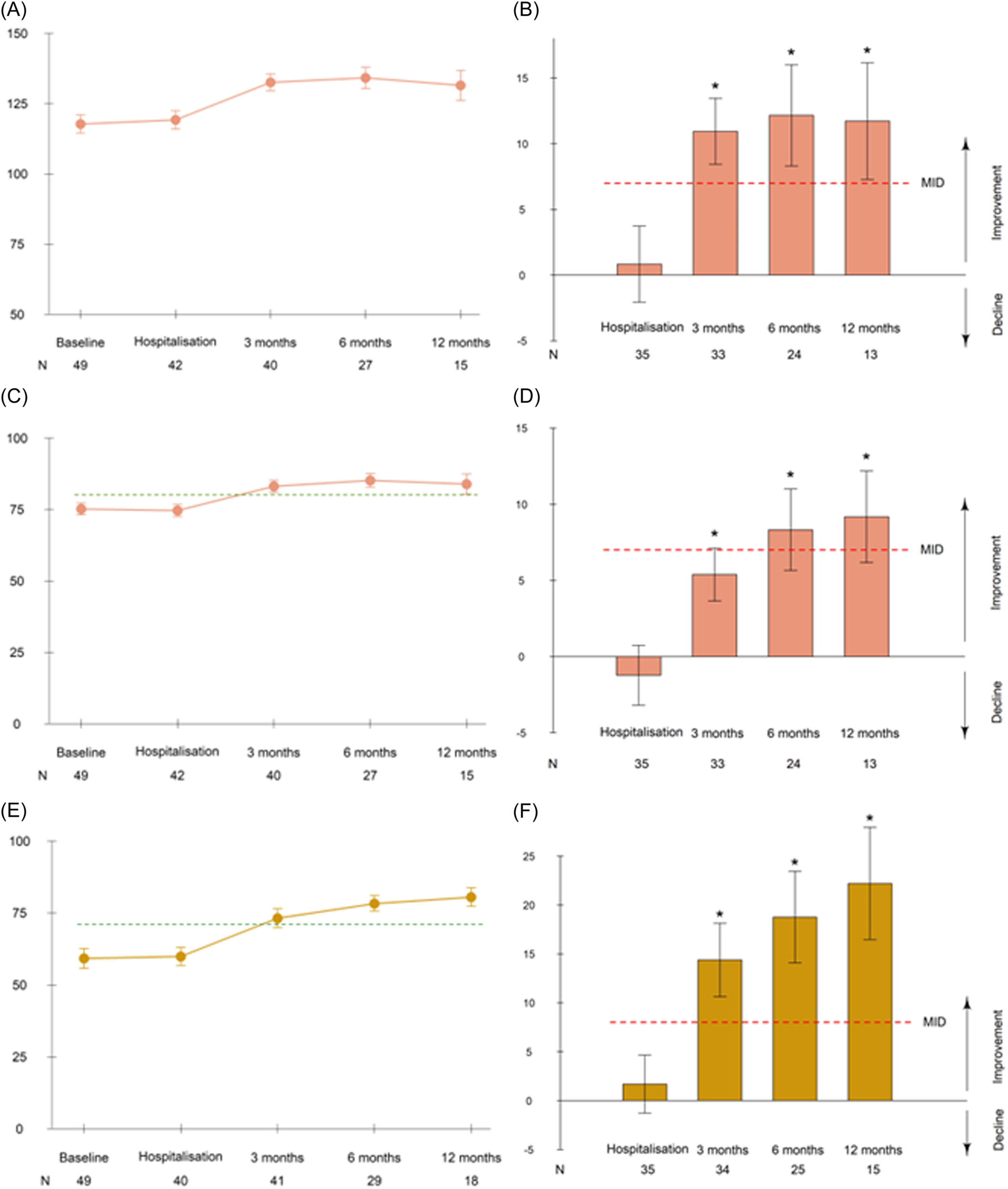
我們發現,隨著時間的推移,與淋巴瘤相關的HRQoL有所改善。FACT-LymTS顯示,在CAR-T細胞輸注后3、6和12個月,HRQoL有臨床相關改善,3、6和12個月時與基線的平均變化分別為10.94分、12.16分和11.72分。FACT-G顯示,6個月時與基線相比有顯著改善,原始評分在3個月時達到一般人群的正常值。

癌癥治療功能評估 (FACT)-淋巴瘤總評分 (A、B)、FACT-General (C、D) 和EQ-5D視覺模擬量表 (E、F) 隨時間推移的平均評分以及相對于基線的平均變化(帶標準誤差)。白細胞分離術前、CAR-T輸注前以及輸注后3、6和12個月。
EQ-5D-5LVAS顯示輸注后3至12個月之間有臨床相關和統計學顯著改善(圖2)。EQ-5DVAS的平均評分隨著時間的推移而增加,到第3個月達到普通人群的參考水平。在幾乎所有方面,抱怨嚴重問題或無能為力的患者比例都有所下降。納入時,48名患者(69.1%)感到疼痛。輸注后6個月和12個月,大約一半的患者仍出現輕度至重度疼痛(分別為50%和55.6%)。值得注意的是,在6個月和12個月感到疼痛的患者通常在基線時就已經感到疼痛(分別為84.6%和 88.9%)。
認知和疲勞
FACT-Cog TS未隨時間推移顯示任何臨床相關變化(圖3)。根據ICANS的發生情況,未觀察到任何變化。然而,在6名(19.4%)、3名(13.6%)和5名(33.3%)患者的FACT-Cog TS分別在3、6和12個月時與基線相比顯著下降。平均原始分數與一般人群的正常值相似,但在12個月時略有下降。

癌癥治療功能評估 (FACT)-疲勞分量表 (A、B) 和FACT-認知總分 (C、D) 隨時間推移的平均評分以及相對于基線的平均變化(含標準誤差)。白細胞分離術前、嵌合抗原受體T細胞輸注前以及輸注后3、6和12個月。
FACIT-F量表顯示,3個月和6個月時癌癥相關疲勞有臨床相關改善,但12個月時沒有改善。輸注后6個月內平均原始分數增加,然后趨于下降,并且在每個時間點都低于一般人群的參考水平。6個月和12個月時,分別有21.4%和35.3%的患者報告有中度至重度疲勞。
心理狀態
基線時,43.1%的患者表現出中度或重度焦慮障礙(即得分≥8),由HADS問卷測量(圖4)。

(A) 根據 HADS 分量表,患有焦慮癥或抑郁癥的患者比例和 (B) HAD分量表與基線的平均變化(含標準誤差)。白細胞分離術前、嵌合抗原受體T細胞輸注前以及輸注后3、6和12個月。
這一比例始終高于一般人群(3個月時最低為23%)。焦慮評分顯示焦慮癥狀在6至12個月內有臨床相關的改善,到3個月時具有統計學意義。7名在6個月和12個月時仍保持中度或重度焦慮的患者往往更年輕,而非焦慮患者為63歲,其中85.7%的人在基線時患有焦慮癥。具有中度或重度抑郁癥狀(即得分≥8)的患者數量隨著時間的推移從基線時的24.4%下降到12個月時的13%,3個月時的比例低于一般人群。然而,抑郁評分隨時間的改變與臨床無關。
6個月時,26%的患者PCLS評分≥34(表明需要醫療護理),而21.3%的患者符合PTSD的診斷標準(即PCLS評分>44)。
6個月時,基線時出現焦慮或PTSD癥狀的患者FACT-LymTS較基線改善程度較低(圖5)。年齡、性別和既往治療次數與HRQoL較基線改善程度無差異。

根據入組時是否存在焦慮癥狀、性別、年齡、3個月時是否存在血細胞減少癥、6個月時是否存在疼痛以及6個月時是否存在創傷后應激障礙,6個月時FACT-Lym TS (帶SD) 相對于基線的平均變化。
性健康
RSS表明,6個月后,性欲、達到性高潮的能力、擁抱和親吻的頻率、對性活動頻率的滿意度以及性活動頻率等方面的性結果有所改善。12個月后,68.2%的可評估患者(N=22)表示對自己的性生活感到滿意。此外,77.3%的患者表示CAR-T細胞療法對他們的性生活產生了穩定或積極的影響,59%的患者表示與淋巴瘤診斷前相似或更好。只有6.8%的患者與醫療保健提供者談論過他們的性生活。
職業、社交和身體康復
經過中位隨訪期19個月后,22名患者(37.3%)在至少12個月后仍處于緩解狀態。
不到一半的患者在確診淋巴瘤時有職業活動。對于12個月后獲得緩解的患者(圖6),在10名處于工作年齡(即注射CAR-T細胞時年齡小于62歲)的患者中,一半已重返工作崗位(N=5),其中3人為全職患者。總體而言,20.8%的62歲以下注射CAR-T細胞患者在注射CAR-T細胞后恢復了職業活動。所有患者都對目前的職業活動感到滿意。
無法恢復工作的主要原因是疲勞:大約60%的患者將其作為繼續休病假的理由,而一名患者仍然遭受與初始疾病相關的劇烈疼痛。

(A) 恢復身體活動 ( N ?= 21)、社交活動 ( N ?= 8) 和職業活動 ( N=10) 的患者比例。(B) 認為身體活動 ( N = 21)、社交活動 ( N = 3)、職業活動 ( N = 5)、性生活 ( N=22) 和總體幸福感 ( N = 22) 恢復正常(穩定?或比淋巴瘤診斷前更好?)的?患者比例?。隨訪?時對目前的身體、社交和職業活動、性生活和總體幸福感相當滿意或非常滿意的患者比例。
在接受長期監測的22名患者中,除一名患者外,其余患者在初次診斷前均進行過體育鍛煉。在之前進行過體育鍛煉的患者中,所有患者在接受CAR-T細胞治療后都恢復了體育鍛煉,盡管強度較低:34.6%的患者在診斷淋巴瘤前每周進行體育鍛煉的時間超過6小時,而所有患者在接受CAR-T細胞治療后每周進行體育鍛煉的時間均不足6小時。
總體而言,66%的患者感覺身體狀況不如初次診斷前,但大多數患者 (76%) 報告稱身體狀況與CAR-T治療前相比保持穩定或有所改善。在診斷淋巴瘤前進行過社交活動(即休閑或社區活動)的患者中(35.3%),37.5%在接受CAR-T細胞治療后恢復了活動。
大多數患者 (77.3%) 報告稱,與接受CAR-T細胞治療之前相比,他們的整體健康狀況有所改善。總體而言,81.8%的患者對他們的整體健康狀況感到滿意,54.5%的患者認為他們的日常生活方式已恢復到接近淋巴瘤診斷之前的水平。
討論
在此,我們旨在對接受CAR-T細胞療法后獲得緩解的淋巴瘤患者的HRQoL恢復情況進行全面評估。據我們所知,這是第一項以多維度(身體、心理、社交、性和職業)評估患者恢復情況并進行如此長期隨訪的研究。我們的目標人群包括來自各種社會和人口統計類別的未經選擇的患者。
使用經過充分驗證和指定的問卷對PRO進行前瞻性評估,然后與一般人群規范進行比較。
比較結果發現在緩解12個月后,我們還調查了身體、職業、性和一般生活狀況。在3、6和12個月時,分別有53、35和23名患者可評估。淋巴瘤相關HRQoL的改善在 3、6 和12個月時具有臨床意義,相對于基線的平均變化分別為10.9、12.2和 11.72。整體HRQoL、疲勞和焦慮的改善具有臨床意義,但20%–40%的患者隨著時間的推移會出現持續的疲勞、心理困擾和認知問題。在CAR-T細胞治療12個月后,22名可評估患者中有81.8%對日常生活感到滿意。
我們的研究為CAR-T細胞治療后患者的康復和幸福感帶來了新的見解。
- 首先,據我們所知,這是第一項使用特定問卷(如FACT-Cog和FACIT-F)前瞻性評估心理困擾、PCI和疲勞的研究,與其他研究中使用的非特定EORTC問卷相比,該問卷的評估更加精確。
- 其次,評估是長期進行的(最長12個月),這在以前的現實生活中的研究中從未進行過。
- 第三,將HRQoL問卷與一般人群進行比較,這使我們能夠評估各種參數是否恢復到“正常”狀態。第四,我們首次使用特定問卷 (RSS) 評估了 CAR-T 細胞治療后的性行為。
- 最后,我們的研究是第一項評估CAR-T細胞治療1年后身體、社交和職業恢復的研究。事實上,評估患者在CAR-T細胞治療后是否可以恢復職業生涯非常重要,因為其中44%的人年齡在60歲以下。
總之,我們發現CAR-T細胞療法改善了獲得緩解的淋巴瘤患者的整體生活質量,使大約一半的患者恢復了日常生活。然而,一些患者經歷了長期的后遺癥,并不是所有患者都能恢復“正常”或“令人滿意”的生活。一些癥狀可能會持續存在,例如疲勞、焦慮、抑郁、疼痛和性健康惡化。如果不進行專門調查,許多這些癥狀可能被漏診。
醫生應該意識到這些潛在癥狀,以便有效地管理它們,并改善患者在CAR-T細胞療法后的健康狀況。需要進一步研究以確定與CAR-T細胞療法后患者康復相關的因素。這對于改善患者管理以促進和加速全面康復非常重要,例如在CAR-T細胞手術期間進行專門的康復護理或心理支持。
參考資料:Perthus, A., Colin, F., Charton, E., Anota, A., Lhomme, F., Manson, G., De Guibert, S., Daufresne, P., Bellec, A., Le Bars, L., De Barros, S., Ysebaert, L., Merceur, M., Cogné, M., Lamy De La Chapelle, T., Houot, R. and Moignet, A. (2024), Remission after CAR T-cell therapy: Do lymphoma patients recover a normal life?. HemaSphere, 8: e72. https://doi.org/10.1002/hem3.72。
免責說明:本文僅用于傳播科普知識,分享行業觀點,不構成任何臨床診斷建議!杭吉干細胞所發布的信息不能替代醫生或藥劑師的專業建議。如有版權等疑問,請及時跟本公眾號聯系,我們將在第一時間處理。
掃碼添加官方微信